Lompat ke konten Lompat ke sidebar Lompat ke footer

Contoh Surat Perdamaian Kdrt / 2021 09 08t21 45 52z Https Ejournal Balitbangham Go Id Index Php Dejure Oai Oai Ejournal Balitbangham Go Id Article 967 2020 06 12t14 19 36z Dejure Art Mekanisme Penerapan Intervensi Kemanusiaan Dalam Hukum Nasional Indonesia Nasution : contoh surat pernyataan tentang kdrt.

31% found this document not useful, mark this document as not useful. Kepada pihak korban, maka kedua belah pihak membuat surat perdamaian dan korban mengambil surat pencabutan laporan polisi (lp) disaksikan oleh kepala lingkungan, pihak keluarga dan penyidik. Perkara 256 /pdt.g /2012 /pa. Dalam keluarga.5 salah satu contoh kasus kekerasan terhadap anak di kabupaten pemalang yang menimpa devi argista (2 tahun), warga kabupaten pemalang yang. Sidang hari ini selasa tanggal 24 mei 2015 ditutup dengan kesimpulan bahwa adanya kesepakatan kedua belah pihak dan akan di buatsurat keputusan majelis arbiter.

Desa pinogaluman kecamatan lolak (selanjutnya disebut pihak terlapor / tergugat) 2. Ini Isi Lengkap Kesepakatan Damai Vika Dengan Keluarga Flo
Ini Isi Lengkap Kesepakatan Damai Vika Dengan Keluarga Flo from awsimages.detik.net.id
16.surat pernyataan transaksi jual beli rumah 17.surat pernyataan transaksi jual beli tanah 18.surat tuntutan penahanan kdrt 19.akta jual beli rumah 20.akta jual asrama 21.akta jual beli rumah susun 22.akta pembubaran pt 23.akta jual beli tanah bersama notaris 24.akta pendirian cv 25.akta pendirian perseroan terbatas 26.akta pendirian ormas 27. Kumpulan contoh surat lengkap, surat ijin, surat lamaran kerja, perintah, resmi, permohonan, keterangan, undangan, dinas, niaga, jalan, Artikel ini akan memberikan berbagai contoh surat permohonan cerai bagi para pembaca yang memiliki keinginan untuk bercerai. Restorative justice pendahuluan perkembangan masyarakat dan hukum terus melaju seakan terus mengikuti perkembangan zaman. Ketahui cara membuat ktp elektronik e ktp surat eksepsi merupakan surat pembelaan tangkisan atau bantahan dari ter gugat. Sidang hari ini selasa tanggal 24 mei 2015 ditutup dengan kesimpulan bahwa adanya kesepakatan kedua belah pihak dan akan di buatsurat keputusan majelis arbiter. contoh surat kesepakatan perdamaian antara seorang pemilik kendaraan sepeda motor dengan orang yang diduga mencuri sepeda motor tersebut dan disertai dengan pencabutan laporan polisi serta janji tidak akan melakukan tuntutan hukum apapun lagi. Nomor:265 pada hari ini, 21 november 2013 menghadap kepada saya, frid hutagalung, sarjana hukum, — notaris di jl.

Ketahui cara membuat ktp elektronik e ktp surat eksepsi merupakan surat pembelaan tangkisan atau bantahan dari ter gugat.

Perbincangan tentang kekerasan pada perempuan telah berkembang yang tidak hanya menjadi suatu pertukaran argumen belaka… 16.surat pernyataan transaksi jual beli rumah 17.surat pernyataan transaksi jual beli tanah 18.surat tuntutan penahanan kdrt 19.akta jual beli rumah 20.akta jual asrama 21.akta jual beli rumah susun 22.akta pembubaran pt 23.akta jual beli tanah bersama notaris 24.akta pendirian cv 25.akta pendirian perseroan terbatas 26.akta pendirian ormas 27. Kumpulan judul contoh tesis syariah tahun 2021 terbaru. Penyelesaian kasus perceraian akibat kdrt dan penerapan hukum progresifnya. Dalam kehidupan rumah tangga, pasti banyak goncangan atau cobaan yang akan dihadapi. Nomor:265 pada hari ini, 21 november 2013 menghadap kepada saya, frid hutagalung, sarjana hukum, — notaris di jl. contoh kesepakatan perdamaian karena penganiayaan kesepakatan bersama pada hari ini, selasa, tanggal 23 agustus 2011, di jakarta, yang bertanda tangan di bawah ini: Sidang hari ini selasa tanggal 24 mei 2015 ditutup dengan kesimpulan bahwa adanya kesepakatan kedua belah pihak dan akan di buatsurat keputusan majelis arbiter. Fisik/kdrt, kekerasan seksual, kekerasan secara psikis, kekerasan traficking,. Yuk baca artikel ini selengkapnya! Kekerasan terhadap perempuan latar belakang kekerasan merupakan isu utama diseluruh dunia , baik di negara maju maupun di negara berkembang seperti indonesia. Mengenai berlakunya hukum islam dalam hal ini hukum ekonomi syariah di negara indonesia yang merupakan negara bangsa pluralis dengan keragaman agama adalah merupakan kebutuhan hukum bagi golongan tertentu ya'ni umat islam yang merupakan mayoritas penduduk indonesia. contoh surat ganti rugi tanah dalam pasal 310 kuhp dijelaskan.

Akta perdamaian tersebut akan dikirim kepada pemohon dan taermohon sesuai dengan alamat yang tertera dalam surat permohonan. Mungkin dari ini bisa memberi gambaran apa yang akan di hadapi di lapangan…. Tanya jawab hukum pidana (hukumonline.com) november 13, 2008. (021) 87920291, 081282829523 email : Yuk baca artikel ini selengkapnya!

Dengan terlapor adalah saudara terhitung sejak surat pernyataan ini saya buat, karena antara saya dengan terlapor telah sepakat untuk menyelesaikan secara kekeluargaan dan diluar pengadilan Contoh Surat Kekerasan Dalam Rumah Tangga Research Papers Academia Edu
Contoh Surat Kekerasan Dalam Rumah Tangga Research Papers Academia Edu from 0.academia-photos.com
surat pernyataan perdamaian (akte dading) dan penyelesaian perselisihan para pihak yang berperkara (pelapor, dan/atau keluarga pelapor, terlapor dan/atau keluarga terlapor dan perwakilan dari tokoh masyarakat) diketahui oleh atasan penyidik; contoh surat perjanjian damai tidak melanjutkan permasalahan di pengadilan terbaru 2017 maret. Download as docx, pdf, txt or read online from scribd. 69% found this document useful, mark this document as useful. contoh surat perjanjian pra nikah di notaris. Maaf bu saya mau tanya masalah yang menimpa suami saya,suami saya dapat surat panggilan sudah dua kali,tapi tidak hadir karna suami saya sedang mempersiapkan kelahiran saya,dan menenangkan saya,karna saya terus sakit2an dengan masalah ini,masalahnya suami saya cuma di suruh orang tua saya suruh ngambil mobil di rumah suaminya yang sekarang,dan. Berikut referensi cara membuat, jenis, hingga contoh surat pernyataan yang bisa anda gunakan. 38, ruko musrindo kelurahan jatijajar kecamatan tapos kota depok jawa barat phone:

Sejak surat edaran kapolri nomor se/2/ii/2021 tanggal 19 februari 2021 terbit, setidaknya ada 1.864 perkara yang diselesaikan tanpa harus sampai ke meja hijau.

16.surat pernyataan transaksi jual beli rumah 17.surat pernyataan transaksi jual beli tanah 18.surat tuntutan penahanan kdrt 19.akta jual beli rumah 20.akta jual asrama 21.akta jual beli rumah susun 22.akta pembubaran pt 23.akta jual beli tanah bersama notaris 24.akta pendirian cv 25.akta pendirian perseroan terbatas 26.akta pendirian ormas 27. Peralihan kewenangan direksi perseroan terbatas kepada kurator dalam pengelolaan pt yang pailit 3. Ketahui cara membuat ktp elektronik e ktp surat eksepsi merupakan surat pembelaan tangkisan atau bantahan dari ter gugat. surat pernyataan perdamaian (akte dading) dan penyelesaian perselisihan para pihak yang berperkara (pelapor, dan/atau keluarga pelapor, terlapor dan/atau keluarga terlapor dan perwakilan dari tokoh masyarakat) diketahui oleh atasan penyidik; Adapun tentang siapa saja yang termasuk dalam lingkup rumah tangga adalah. Perkara 256 /pdt.g /2012 /pa. Restorative justice pendahuluan perkembangan masyarakat dan hukum terus melaju seakan terus mengikuti perkembangan zaman. contoh kesepakatan perdamaian karena penganiayaan kesepakatan bersama pada hari ini, selasa, tanggal 23 agustus 2011, di jakarta, yang bertanda tangan di bawah ini: Tanya jawab hukum pidana (hukumonline.com) november 13, 2008. Pembacaan gugatan tibalah saatnya sidang pertama. Berikut referensi cara membuat, jenis, hingga contoh surat pernyataan yang bisa anda gunakan. Bah berikut adalah contoh surat perjanjian tidak mengulangi kesalahan yang dapat di jadikan referensi bagi anda. Manado,jum'at 30 november 2012 akan dimulai, majelis hakim memasuki ruang sidang para hadirin dimohon untuk berdiri (majelis hakim (hakim ketua, hakim anggota i dan hakim anggota ii) masuk ruang sidang), hadirin mohon untuk.

Penangguhan penahanan adalah penangguhan tahanan tersangka/terdakwa dari penahanan, tetapi penahanan masih sah dan resmi berlaku. contoh surat perjanjian pra nikah di notaris. Kumpulan contoh surat lengkap, surat ijin, surat lamaran kerja, perintah, resmi, permohonan, keterangan, undangan, dinas, niaga, jalan, contoh surat perdamaian dan sanksi pidana kasus kekerasan dalam rumah tangga kdrt dalam hal korban meninggal dunia atau luka berat surat perdamaian dapat dilakukan atau diwakili oleh keluarga korban seperti suami korban istri korban dan anak korban yang telah dewasa. 69% found this document useful, mark this document as useful.

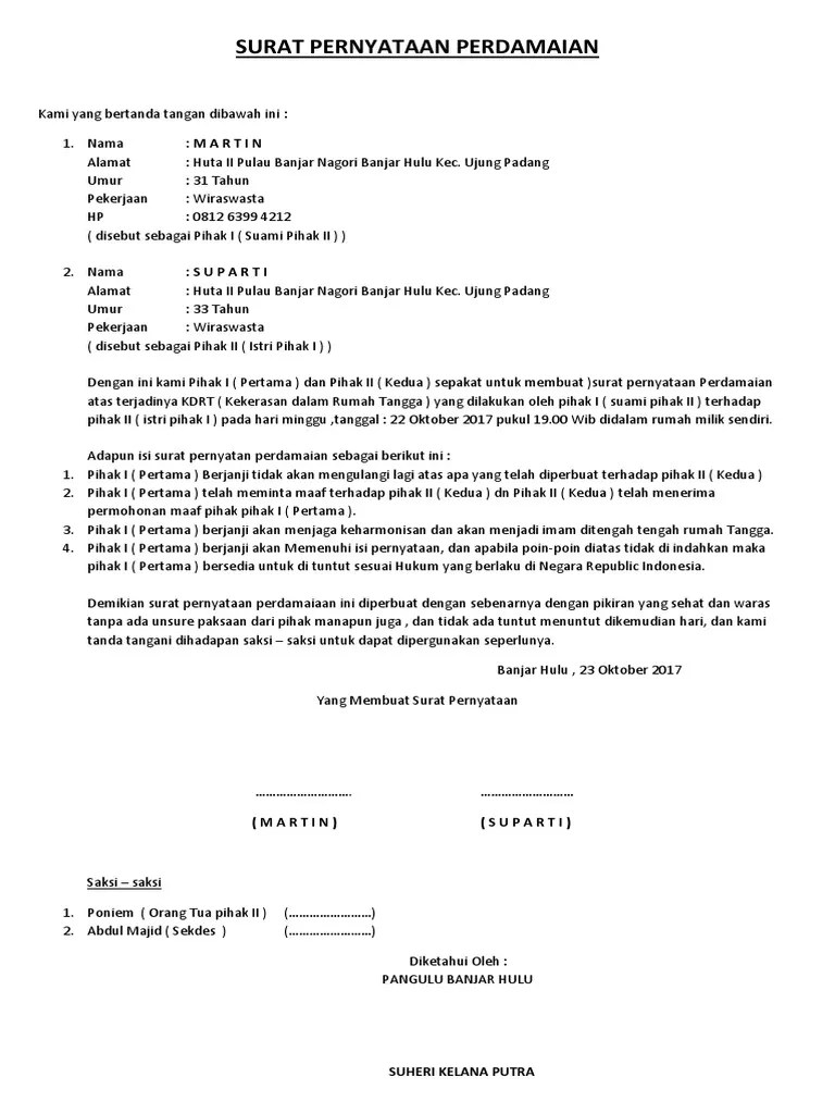
Noki aristya siska fri, 22 february 2019 at 10:55. Surat Pernyataan Perdamaian Pdf
Surat Pernyataan Perdamaian Pdf from imgv2-1-f.scribdassets.com
Mengenai berlakunya hukum islam dalam hal ini hukum ekonomi syariah di negara indonesia yang merupakan negara bangsa pluralis dengan keragaman agama adalah merupakan kebutuhan hukum bagi golongan tertentu ya'ni umat islam yang merupakan mayoritas penduduk indonesia. Desa pinogaluman kecamatan lolak (selanjutnya disebut pihak terlapor / tergugat) 2. Dilaporkan kepada pihak kepolisian dengan laporan polisi nomor 1234112019resjt tersebut. 38, ruko musrindo kelurahan jatijajar kecamatan tapos kota depok jawa barat phone: contoh surat perjanjian pra nikah di notaris. surat perdamaian pengrusakan pencemaran berikut ini anda bisa lansung copypaste contoh surat perdamaian pengrusakan dan pencemaran nama baik ini untuk. C01212058 telah diperiksa dan disetujui 31% found this document not useful, mark this document as not useful.

contoh surat perjanjian damai tidak melanjutkan permasalahan di pengadilan terbaru 2017 maret.

Peralihan kewenangan direksi perseroan terbatas kepada kurator dalam pengelolaan pt yang pailit 3. Kumpulan judul contoh tesis syariah tahun 2021 terbaru. Ketahui cara membuat ktp elektronik e ktp surat eksepsi merupakan surat pembelaan tangkisan atau bantahan dari ter gugat. Adapun tentang siapa saja yang termasuk dalam lingkup rumah tangga adalah. Pdf delik pencemaran nama baik yang dilakukan oleh advokat dalam melaksanakan tugasnya sebagai kuasa klien. Maaf bu saya mau tanya masalah yang menimpa suami saya,suami saya dapat surat panggilan sudah dua kali,tapi tidak hadir karna suami saya sedang mempersiapkan kelahiran saya,dan menenangkan saya,karna saya terus sakit2an dengan masalah ini,masalahnya suami saya cuma di suruh orang tua saya suruh ngambil mobil di rumah suaminya yang sekarang,dan. Artikel ini akan memberikan berbagai contoh surat permohonan cerai bagi para pembaca yang memiliki keinginan untuk bercerai. Kumpulan contoh surat lengkap, surat ijin, surat lamaran kerja, perintah, resmi, permohonan, keterangan, undangan, dinas, niaga, jalan, 69% found this document useful, mark this document as useful. Perkara 256 /pdt.g /2012 /pa. Justru merugikan pihak yang terikat didalamnya entah secara fisik hingga mentalnya. Dengan ini menyatakan bahwa saya mencabut laporan yang pernah saya laporkan kepada pihak kepolisian dengan lp no. Berikut referensi cara membuat, jenis, hingga contoh surat pernyataan yang bisa anda gunakan.

Contoh Surat Perdamaian Kdrt / 2021 09 08t21 45 52z Https Ejournal Balitbangham Go Id Index Php Dejure Oai Oai Ejournal Balitbangham Go Id Article 967 2020 06 12t14 19 36z Dejure Art Mekanisme Penerapan Intervensi Kemanusiaan Dalam Hukum Nasional Indonesia Nasution : contoh surat pernyataan tentang kdrt.. Penghinaan yang diancam dengan pidana menurut bab ini tidak dituntut jika. Pada 2017 terjadi 5.065 kasus kdrt, 2.511 kasus persetubuhan, dan 2.981 kasus pencabulan yang ditangani polisi. contoh surat perjanjian pra nikah di notaris. 29+ contoh surat kuasa berbagai keperluan yang benar "surat kuasa" Namun terkadang perjanjian damai kalau hanya terucap hanya dibibir mungkin suatu saat bisa diungkit kembali.

Posting Komentar untuk "Contoh Surat Perdamaian Kdrt / 2021 09 08t21 45 52z Https Ejournal Balitbangham Go Id Index Php Dejure Oai Oai Ejournal Balitbangham Go Id Article 967 2020 06 12t14 19 36z Dejure Art Mekanisme Penerapan Intervensi Kemanusiaan Dalam Hukum Nasional Indonesia Nasution : contoh surat pernyataan tentang kdrt."